Terima kasih telah berkunjung semoga dapat bermanfaat untuk kita semua. Surat lamaran berisikan permohonan agar dapat mengikuti seleksi penerimaan calon pegawai negeri sipil di pemerintah daerah kabupatenkota yang ada di provinsi lampung tahun anggaran 2019.
Pendaftaran Cpns 2019 Berikut Contoh Surat Lamaran Dan
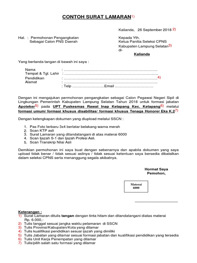
Contoh surat lamaran cpns provinsi lampung. Baik itu informasi mengenai jadwal pendaftaran resmi formasi persyaratan hingga tahapan seleksi cpns pemprov lampung 2018. Nah oleh sebab itu jika anda saat ini sedang mencari format contoh surat lamaran cpns kota bandar lampung 2018 silahkah simak terus halaman ini sampai selesai. 6000 ekstensi pdf dengan ukuran size maksimal 800 kb. Contoh surat lamaran kerja cpns terbaru 2015 buat anda yang ingin melamar kerja di cpns maka membuat surat lamaran tidak boleh asal buat saja dan ada setruktur yang harus anda ketahui juga maka dengan ini kami blog contoh surat dan proposal memberikan info ini buat anda semua supaya anda bisa di terima lamaran kerja cpns anda nantinya. Contoh surat lamaran cpnsd dapat didownload. Wk2018 tanggal 19 september 2018 tentang penerimaan calon pegawai negeri sipil daerah pemerintah kabupaten way kanan provinsi lampung dari pelamar umum.
Contoh surat lamaran atau pernyataan cpns 2019 untuk pemerintah daerah beserta link download. Contoh resmi kelengkapan. Surat lamaran cpns 2018 provinsi lampung surat lamaran cpns 2018 provinsi banten demikian informasi mengenai format surat lamaran cpsn 2018 kabupatenkota di provinsi lampung yang dapat admin bagikan. 675 tahun 2017 tanggal 27 september 2019 tentang penetapan kebutuhan pegawai negeri sipil di lingkungan pemerintah provinsi. Tribunjogjacom surat lamaran untuk mendaftar calon pegawai negeri sipil cpns 2019 dibutuhkan sebagai persyaratan administras untuk diunggah di laman httpssscasnbkngoid. Ketua panitia seleksi cpns.
Pengumuman seleksi cpnsd pemerintah provinsi lampung dapat dilihat disini. Cpns provinsi lampung 2018 adalah info cpns yang akan saya sampaikan kali ini untuk anda. Beberapa lembaga kementrian maupun nonkementrian sudah memberikan informasi secara lengkah dan jelas terkait alur. Buku petunjuk pendaftaran sistem seleksi cpns nasional dapat dilihat disini. File pengumuman dan comtoh surat lamaran dapat diunduh pada link dibawah ini. Terutama bagi anda yang saat ini sedang mencari informasi mengenai penerimaan cpns provinsi lampung tahun 2018.
Bagi anda yang akan melamar formasi cpns 2018 di provinsi banten maka silahkan gunakan format surat lamarn ini untuk dijadikan contoh yang resmi untuk anda. Contoh format surat lamaran provinsi banten ini di rilis resmi oleh badan kepegawaian daerah bkd provinsi banten. Infolokerlampungnet dalam rangka pengisian formasi calon pegawai negeri sipil cpns di lingkungan pemerintah provinsi lampung tahun anggaran 2019 sebagaimana telah ditetapkan dalam keputusan menteri pendayagunaan aparatur negara dan reformasi birokrasi ri nomor. Contoh surat lamaran dapat dilihat disini. Surat lamaran ditandatangani dengan nama jelas dan di atas materai cukup rp. Contoh surat lamaran cpns kota bandar lampung 2018 adalah merupakan postingan yang akan saya bagikan kali ini untuk anda terutama bagi anda yang berencana mendaftar cpns tahun 2018 di lingkungan bandar lampung.














