Contoh surat permohonan pindah tugas anggota kepolisian. Namun polri membuat format surat lamaran tersendiri.
Surat Permintaan Maaf Ahmad Rifa I Ke Kapolri Kumparan Com
Contoh surat permohonan anggota polri. Contoh surat lamaran polricontoh surat lamaran polricontoh surat lamaran polri. Contoh surat permohonan mutasi kerja karyawan swasta 3. Kep561iii2020 tentang penerimaan tamtama polri ta. Posting ini masih berhubungan dengan posting sebelumnya tentang penerimaan bintara polri tahun 2013. Kali ini kami akan membahas bagaimana contoh surat permohonan menjadi anggota bintara polisi tugas umum ptu dan bintara kompetensi khusus bakomsus tamtama polri. Pengumuman penerimaan tamtama polri ta.
Download format file doc docx microsoft word. Contoh surat permohonan menjadi anggota polri tulis tangan 2018 3. Contoh surat contoh surat pengunduran diri dengan sopan. Contoh surat permohonan menjadi anggota polri dewasa ini perkembangan sumber daya manusia makin dibutuhkan termasuk di bidang politik. Contoh format surat permohonan menjadi anggota pol. Penerimaan anggota polri tahun 2020 resmi dibuka.
Berkas pindah antar polda contoh surat permohnan pindah kerja polisi. Contoh surat permohonan multiple entry visa jepang 3. Tak lama ini kepolisian negara indonesia membuka pendaftaran pendidikan polisi ta 2013. Contoh surat permohonan multiple entry visa jepang 3. 2015 2014 1 februari 1. Pengumuman penerimaan brigadir polri ta.
Contoh surat permohonan menjadi anggota polri tulis tangan 2018 3. Pengumuman penerimaan taruna akpol ta. 2 tahun 2002 tanggal 8 januari 2002 tentang kepolisian negara republik indonesia dan keputusan kepala kepolisian negara republik indonesia nomor. Salah satu syarat dalam melamar menjadi anggota polri adalah membuat suarat lamaran sama seperti melamar ke sebuah instansi atau perusahaan. Contoh surat contoh surat lamaran yang baik 2016. Contoh surat permohonan cerai disetiap perjalannya pasti akan ada hambatan dan terkadang hambat itu tidak kunjung usai.
Contoh surat permohonan pindah tugas polri. Anda dapat melihat dengan jelas contoh surat permohonan menjadi anggota polri menggunakan desktop anda tablet android atau iphone dan perangkat smartphone lainnya secara gratis. Contoh surat permohonan menjadi anggota polri adalah gambar contoh surat berdefinisi tinggi dan memiliki ukuran 768x1207. Contoh surat undangan dinas full block style 3. Salah satu berkas persyaratan yang wajib dilengkapi atau disiapkan oleh pelamar dalam seleksi penerimaan anggota polri tahun 2020 ini adalah surat permohonan menjadi anggota polri. Contoh surat permohonan cerai anggota polri.
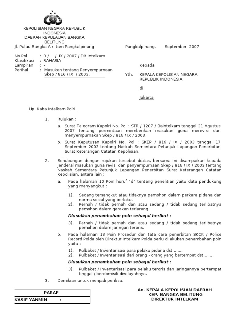
Contoh surat pribadi dan surat dinas beserta strukturnya 3. Kepolisian negara republik indonesia daerah sulawesi tenggara surat perjanjian ikatan dinas pertama anggota polri berdasarkan pasal 24 ayat 1 dan 2 undang undang no.















:strip_icc():format(jpeg)/kly-media-production/medias/36487/original/polisithr-130802c.jpg)